Alan Nedir
1 . Düz, açık ve geniş yer, meydan, saha.
2 . Orman içinde düz ve ağaçsız yer, düzlük, kayran.
3 . Yüz ölçümü.
4 . Eski Roma'da açık hava gösterisi yapılan geniş yer.
5 . mecaz Bir çalışma çevresi:
6 . fizik İçinde birtakım kuvvet çizgilerinin yayılmış bulunduğu varsayılan uzay parçası:
7 . sinema, TV (***) Bir alıcı merceğinin net bir görüntü sağlayabildiği derinlik ve genişliğin bütünü.
8 . spor Yarışmaların, karşılaşmaların ve oyunların yapıldığı yer, saha.
Matematikte; sınırlı, kapalı yüzeylerin ölçüsü. Şekilleri farklı olan pek çok yüzeyin alanları (mesela) daire şeklindeki bir yüzeyle, kare şeklindeki bir yüzeyin ölçüleri yani alanları birbirine eşit olabilir.
Herhangi bir yüzeyin alanını hesaplamak; temel prensip olarak, yüzeyi birim yüzey ölçüsüne ( alanlara ) ayırmak ve birim alanların sayısını tespit etmekle olur. Bu işlemin tatbiki, çok zor hatta bazı büyük arazi, küre yüzeyi gibi eğri yüzeyler için mümkün olmayabilir veya yapılan işlem doğru netice vermeyebilir. Bu sebepten dolayı bazı geometrik şekillerin alanlarının hesaplanması için formüller geliştirilmiştir.
Birim alan, bir kenarı bir birim olan karedir ve buna bir birim kare denir. Ölçü sembolünün üzerine 2 rakamı koymak suretiyle (birim)2 ifade edilir. Alan biriminin askatları ve katları sırasıyla yüzer yüzer küçülür ve büyür. 1 m2nin askatları:
1m2 = 100 dm2 = 10000 cm2 = 1000000 mm2 dir.
1 m2nin katları ise; 1 dam2 = 100 m2, 1hm2 = 100 dam2 = 10000 m2, 1km2 = 100 hm2 = 10000 dam2 = 1000000 m2.
Yüzeylerin alanlarını hesaplamak için uygulanacak bir metod, yüzeyi, alanlarının hesabı bilinen geometrik şekillere ayırmaktır. Alanları bilinen geometrik şekillere ayrılmış yüzeyin alanı bu alanların toplamıdır.
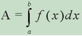
Herhangi bir yüzey, alanları hesaplanabilen geometrik şekillere ayrılamıyorsa, bu durumda yüzeyin alanı, integral hesabı ile bulunabilir.
f(x) eğrisi, x ekseni, x=a veya x=b doğruları ile sınırlı bölgenin alanı.

integralinin hesaplanması ile bulunur.
f(x) ve g(x) eğrileri arasındaki alan ise:

integralinin hesaplanmasıyla bulunabilir.
Çeşitli geometrik şekillerin alan formülleri:
Üçgen : A= ah/2 (h: yükseklik, a: taban)
Dirkdörtgen: A=a.b (a: uzun kenar, b: kısa kenar)
Kare : A = a2(a : kenar uzunluğu)
Paralelkenar : A = a.h (a: taban, h: yükseklik)
Daire: A = p r2 (p : pi sayısı, r: yarıçap)
Elips : A = p .a.b (a: uzun yarıçap, b: kısa yarıçap)
Küre : A = 4p r2 (p : pi sayısı, r: yarıçap)
Silindir yan yüzeyi: A = 2p rh (p: pi sayısı, r: yarıçap, h: yükseklik)
